Spec-Zone .ru
спецификации, руководства, описания, API

Syntax of Class Definition

Figure 5.1. classDefinition

classDefinition

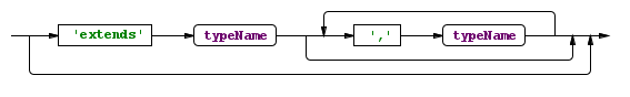
Figure 5.2. extendsClause

extendsClause

Table 5.1. Class Modifiers

abstract An abstract class cannot be instanciated. That is, you cannot create instances of an abstract class.
package The class can only be accessed from the package where it is defined. See Access Modifiers.
protected The class can only be accessed from the package where it is defined and from subclasses of the class where it is defined. See Access Modifiers.
public The class can be accessed from anywhere. See Access Modifiers.