Spec-Zone .ru
спецификации, руководства, описания, API

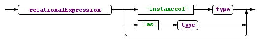
typeExpression

Two operators over data type.

Figure 6.22. typeExpression

typeExpression

Table 6.4. Binary Logical Operators

 Operator Meaning  Operand Types Result Type
instanceof Is this object of the specified type Object instanceof Type Boolean
as Convert this object to the specified type Object as Type Object (of type Type)

For example:

function toString(val : Object) : String {
   if (val instanceof String) 
      val as String 
   else 
      "Not a String"
}

This example function uses instanceof to check if the input is a String, and if it is, it changes the type of the expression to String using the as operator.